芯片供应商
HOME
芯片供应商
正文内容
芯片ref 揭秘电压基准源:如何选择才能确保电子系统稳定如初?
发布时间 : 2026-02-04
作者 : 小编
访问数量 : 23
扫码分享至微信

揭秘电压基准源:如何选择才能确保电子系统稳定如初?

揭秘电压基准源:如何选择才能确保电子系统稳定如初?###

高精度电压基准源是众多电子设备和系统的重要组件,其性能的优劣直接影响整个系统的稳定性和可靠性。除了高精度这一特性之外,低温漂、低噪声、低功耗等特性同样是电压基准源在应对各类电子设备日益严苛要求时的必备要素。

本期视频将围绕如何选择电压基准源芯片展开讨论,并以纳芯微电压基准源芯片NSREF3130为例,详细分析电压基准源误差对ADC采集系统会产生怎样的影响。

请观看视频↓

纳芯微的NSREF30/31xx系列电压基准源产品,凭借其卓越的性能与稳定性,不仅能满足电子设备不断增长的性能需求,更有助于客户开拓更为广阔的应用领域。

如何选择电压基准源芯片?

在选择一颗作为基准电压的电压基准源芯片时,首先需要从系统架构上考虑以下几个要素:电源电压、功耗预算、负载能力、温度范围和封装尺寸等。

在满足了系统的基本要求之后,需要进一步考虑基准源芯片的性能参数是否能够满足需求。高精度、低噪声是电压基准源的基本性能要求,在不同的外界环境变化下,如温度变化、环境应力变化、时间变化等,基准源也都需保持稳定。这些外部因素都会影响电压基准源的性能,因此,有不同的性能参数用来标定基准源的性能高低,如初始精度、温度漂移、噪声、热迟滞、长期漂移、电压调整率、负载调整率、输入输出电压差等。

电压基准源的选择要素

NSREF30/31xx系列的产品优势

纳芯微的电压基准源NSREF30/31xx产品具有高精度、低温漂、低噪声、低功耗特性,该系列包含NSREF30xx和NSREF31xx两个子系列,每个子系列有6个不同型号,分别对应6个输出电压选项。每款产品均有车规和工规型号,其中车规级产品满足AEC-Q100 Grade1的可靠性要求,可在-40~125℃的严苛环境下工作。

温度漂移是电压基准源最重要的参数之一,它是由电路缺陷和非线性引起的漂移,往往是非线性的。纳芯微电压基准源采用了黑盒法(Box method)对温度漂移进行测量和标定。

事实上,温度漂移计算只是基于有限的温度测量点来测量电压的最大值和最小值,并没有考虑这些极值发生在哪一个温度点。因此,对于一个非线性的温漂器件来说,其温度漂移指标并不能用来说明该器件在较窄的温度范围内,其温度漂移指标会比标定的更好。

NSREF30xx系列的温漂典型值为10ppm/℃,最大值35ppm/℃。NSREF31xx系列的性能更高,温漂典型值为5ppm/℃,最大值15ppm/℃,能够保证在全温度范围内实现高精度ADC采样。在其他性能参数方面,两个系列的基准源产品表现同样卓越。

NSREF30xx和NSREF31xx的温漂性能表现

低噪声是NSREF30/31xx系列的另一特色。电压基准源输出电压噪声一般表现为低频1/f噪声和宽带白噪声。在实际应用中,宽带噪声可通过压缩带宽的手段来抑制;而低频1/f噪声在应用中很难去除,是高精度测量的主要误差之一。

NSREF30/31xx采用先进的工艺及专门的低噪声设计,2.5V输出电压时的1/f噪声典型值仅为20μVpp(峰峰值),且噪声分布相对收敛;1sigma值小于2μVpp,大大降低了低频噪声对ADC采样误差的影响。在保证低噪声的前提下,NSREF30/31xx仅消耗140μA(典型值)电流,因此适合工业现场变送器、电力、便携式测量设备等应用。

对比表明,在近似的静态功耗和温漂性能下,NSREF30/31xx系列产品的低频1/f噪声远低于市面上主流产品。

NSREF30xx和NSREF31xx的低频噪声性能表现

得益于良好的环路设计,在输入电压仅比输出电压高1mV(典型值)时,NSREF30/31xx即可正常输出工作电压(NSREF3012/3112需要最低1.8V工作电压),对电源(如电池供电)电压可能出现降低的应用场景非常友好。

此外,NSREF30/31xx具有源电流和吸电流能力(典型值±10mA), 输出端不接输出电容也可以稳定输出电压,不会因所接电容发生故障或失效而导致器件工作不正常,且能够支持很宽的环路稳定电容值范围,从而适应不同应用电路和场景,拓展了其应用范围。

在实际应用中,为了减小电压基准源长期漂移对系统精度的影响,通常需要进行定期校准,但这样会导致生产率降低等方面的问题。因此,引入长期漂移的性能指标对精密系统的设计尤为重要。

长期漂移是指电压基准源输出电压随时间变化的漂移量,基准源的长期漂移主要是机械应力和老化所致,早期漂移主要由机械应力引入,通常会造成基准源电压出现较大的漂移。随着时间的推移,封装、焊接和芯片材料越来越稳定,漂移量会越来越小。需要注意的是产品手册标定的长期漂移,是指基准源输出电压在前1000小时漂移量而非每1000小时漂移量。

NSREF30/31xx系列在35℃下前1000小时漂移量为100ppm(典型值),前2000小时漂移量为130ppm(典型值)。在估算更长时间的漂移量时,可使用归一化到1000小时漂移量的平方根公式LTD(h)来计算。

基准源的长期漂移性能表现

基准源性能对ADC采集系统影响的分析

结合上述介绍的性能指标,以NSREF3130为例,分析其性能对ADC采集系统的影响。系统误差通常使用统计公差分析的平方根(RSS)法来计算。表格统计了NSREF3130的误差项及误差大小,方程式展示了使用平方根法计算的总误差,并将基准源总误差转换为LSB。本例省略了线性调整率、负载调整率等误差。由方程式得出,对于12位ADC, NSREF3130的误差贡献为13LSB。

NSREF3130对ADC采样精度的影响

通过系统校准,可以消除初始精度带来的误差,同时温度漂移和长期漂移改善80%。由计算可得,校准后的系统中NSREF3130带来的总误差仅为2LSB。

系统校准后NSREF3130对ADC采样精度的影响

进一步拓展应用边界

纳芯微电压基准源产品NSREF30/31xx系列,凭借其高精度、低温漂、低噪声、低功耗等诸多优势,赢得了客户的高度认可与好评。

该系列产品得益于先进的制程工艺和独到的设计理念,不仅实现了高初始精度,更在低温漂特性上超越了同类市场产品,确保在全温度范围内都能保持卓越的采样精度。

NSREF30/31xx系列电压基准源拥有广泛的应用前景,可被应用于光伏、工业自动化、数字电源、充电桩等多个领域。它为客户提供稳定可靠的性能输出,助力实现更高效、更精确的数据采集和处理,从而帮助客户进一步拓展其应用边界,探索更多可能。

NSREF30/31xx系列产品详情

干货 实图分析运放7大经典电路

运放的基本分析方法:虚断,虚短。对于不熟悉的运放应用电路,就使用该基本分析方法。

运放是用途广泛的器件,接入适当的反馈网络,可用作精密的交流和直流放大器、有源滤波器、振荡器及电压比较器。

1、运放在有源滤波中的应用

上图是典型的有源滤波电路(赛伦-凯 电路,是巴特沃兹电路的一种)。有源滤波的好处是可以让大于截止频率的信号更快速的衰减,而且滤波特性对电容、电阻的要求不高。

该电路的设计要点是:在满足合适的截止频率的条件下,尽可能将R233和R230的阻值选一致,C50和C201的容量大小选取一致(两级RC电路的电阻、电容值相等时,叫赛伦凯电路),这样就可以在满足滤波性能的情况下,将器件的种类归一化。其中电阻R280是防止输入悬空,会导致运放输出异常。

滤波最常用的3种二阶有源低通滤波电路为

巴特沃兹,单调下降,曲线平坦最平滑;

巴特沃兹低通滤波中 用的最多的是 赛伦凯乐电路,即仿真的该电路。

一个滤波器,要知道其截至频率是多少,或者能写出传递函数和频率响应也可以。

如果该滤波器还有放大功能,要知道该滤波器的增益是多少。

当两级RC电路的电阻、电容值相等时,叫赛伦凯电路,在二阶有源电路中引入一个负反馈,目的是使输出电压在高频率段迅速下降。

二阶有源低通滤波电路的通带放大倍数为 1+Rf/R1 ,与一阶低通滤波电路相同;

截止频率为

注明,m的单位为 欧姆, N 的单位为 u

所以计算得出 截止频率为

切比雪夫 ,迅速衰减,但通带中有纹波;贝塞尔(椭圆),相移与频率成正比,群延时基本是恒定。

2、运放在电压比较器中的应用

电压比较

上图是典型信号转换电路,将输入的交流信号,通过比较器LM393,将其转化为同频率的方波信号(存在反相,让软件处理一下就可以),该电路在交流信号测频中广泛使用。

该电路实际上是过零比较器和深度放大电路的结合。

将输出进行(1+R292/R273)倍的放大,放大倍数越高,方波的上升边缘越陡峭。

该电路中还有一个关键器件的阻值要注意,那就是R275,R275决定了方波的上升速度。

3、恒流源电路的设计

如图所示,恒流原理分析过程如下:

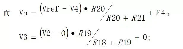
U5B(上图中下边的运放)为电压跟随器,故V1=V4;

由运算放大器的虚短原理,对于运放U4A(上图中上边的运放)有: V3=V5;

有以上等式组合运算得:

当参考电压Vref固定为1.8V时,电阻R30为3.6,电流恒定输出0.5mA。

该恒流源电路可以设计出其他电流的恒流源,其基本思路就是:所有的电阻都需要采用高精度电阻,且阻值一致,用输入的参考电压(用专门的参考电压芯片)比上阻值,就是获得的输出电流。

但在实际使用中,为了保护恒流源电路,一般会在输出端串一只二极管和一只电阻,这样做的好处第一是防止外界的干扰会进入恒流源电路,导致恒流源电路的损坏,二是可以防止外界负载短路时,不至于对恒流源电路造成损坏。

4、整流电路中的应用

整流电路

上述电路是一个整流电路,将输入的一定频率的脉冲整流成固定的电平电压,再用此电压控制4-20mA电流的输出电流。该电路功能类似一些DAC功能的接口。

5、热电阻测量电路

热电阻测量电路

上图的电路是典型的热电阻/电偶的测量电路,其测量思路为:将1-10mA的恒流源加于负载,将会在负载上产生一定的电压,将该电压进行有源滤波处理,处理后在进行信号的调整(信号放大或衰减),最后将信号送入ADC接口。

该电路应用时,要注意在输入端施加保护,可以并TVS,但要注意节电容对测量精度的影响,当然,如果在一些低成本场合,上述电路图可简化为下电路

热电阻测量简化电路

6、电压跟随器

在运放的使用中,电压跟随器是一种常见的应用,该电路的好处是:一是减小负载对信号源的影响;二是提高信号带负载的能力。

电压跟随器

上图是运用运放实现了电阻分压的功能,首先用电阻获得需要输出的电压,然后用运放对该电压进行跟随,提高其输出能力。

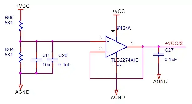
7、单电源的应用

在运放的实际使用,我们一般为了保持运放的频率特性,一般都采用双电源供电,但有的时候在实际使用,我们只有单电源的情况,也能实现运放的正常工作。

首先我们运用运放跟随电路,实现一个VCC/2的分压:

分压电路

当然,如果在要求不是很高的场合,我们可以直接电阻分压,获得+VCC/2,但由于电阻分压的特性所在,其动态的响应速度会非常慢,请谨慎使用。

获得+VCC/2后,我们可以用单电源实现信号放大功能,如下图:

单电源的应用

该电路中 R66=R67//R68, 信号的输出增益G=-R67/R68 。

具体应用如下图:运放为单+5V_AD供电,AD芯片的电压是3.3V(基准电压芯片REF3033得到),该3.3V再电阻分压和经过运放跟随后得到1.65V,给到运放的同相输入端

单电源差分输入并放大的应用

附:运放的应用要点

相关问答

有些芯片上有基准电压REF,请问基准电压是什么意思?其作用?详细点哈?

基准电压的作用就是提供一个准确的参照电压。通常用于模拟功能,和逻辑功能无关。例如A/D转换器的基准电压为2.5V,那么当输入信号电压等于2V时,A/D转换器的数字...

包装上REF是什么意思–960化工网问答

包装上REF是什么意思最佳答案REF是商品号,LOT是生产批号。1、REF:Reference参考,可以是商品号或合同号。2、LOT:生产批号。就是同一批货物共有的序列号。一般的...

霍尔传感器中的ref怎么处理电路?

REF基准电压,芯片有了主供电后自己产生此电压,由此电压可以判断其芯片的好坏REF基准电压,芯片有了主供电后自己产生此电压,由此电压可以判断其芯片的好坏

ref3025芯片参数?

ref3025芯片采用的是三星吃大米制成工艺的高通骁龙888处理器,这款处理器的安兔兔跑分可以达到80万,支持满血的闪存以及内存。这手机支持5g双模全网通功能,另...

求翻译芯片引脚说明-ZOL问答

REF基准电压、CLK(或CP)时钟、CLR清零、NC空脚等。ROM共有16KB大.当MP/MC的输...一般芯片电源和地的位置都不一样,最好不要乱试,很容易烧芯片。芯片引脚,上面...

它与VREF输入电压的大小有关系么?请知道的各位大虾详细指...

[回答]AD转换的最大值电压值=参考电压(VREF)这个芯片最大电压应该是5V.模拟电压每变0.02V数字量的2进制数就加1.初始值是0V对应数字量00000000B0xff是...

555芯片与3842芯片区别与联系?

UC384X系列芯片区别型号开启电压关闭电压占空比范围工作频率UC384216V10V0~97%500KHzUC38438.5V7.6V0~97%500KHzUC384...

ads1232芯片引脚功能?

ads1232芯片是一款24位的高精度模数转换器,具有低噪声和低功耗的特点。它的引脚功能主要包括:VIN+和VIN-是差分输入端口,用于接收模拟信号;REF+和REF-是参考...

1gb2rx8pc26400u55513e1800与1gddrii有什么不同

XXXXXXXXXXXXXXXX1234567891011121、HY代表是现代的产品2、内存芯片类型:(57=SDRAM,5D=DDRSDRAM);3、工...

ha5832芯片引脚说明?

HA5832芯片是一种双通道的音频放大器,其引脚共有8个,包括4个电源引脚和4个信号引脚。其中V+和V-是电源引脚,分别接正负极电源,OUT1和OUT2是输出信号引脚,可...

 7510  海四达 
王经理: 180-0000-0000(微信同号)
10086@qq.com
北京海淀区西三旗街道国际大厦08A座
©2026  上海羊羽卓进出口贸易有限公司  版权所有.All Rights Reserved.  |  程序由Z-BlogPHP强力驱动
网站首页
电话咨询
微信号

QQ

在线咨询真诚为您提供专业解答服务

热线

188-0000-0000
专属服务热线

微信

二维码扫一扫微信交流
顶部