芯片元器件
HOME
芯片元器件
正文内容
正负电源芯片 得邦照明获得实用新型专利授权:“一种正负电压双电源供电电路”
发布时间 : 2025-12-31
作者 : 小编
访问数量 : 23
扫码分享至微信

得邦照明获得实用新型专利授权:“一种正负电压双电源供电电路”

证券之星消息,根据企查查数据显示得邦照明(603303)新获得一项实用新型专利授权,专利名为“一种正负电压双电源供电电路”,专利申请号为CN202322898625.1,授权日为2024年6月11日。

专利摘要:本实用新型公开了属于正负电压双电源电路技术领域的一种正负电压双电源供电电路,包括升压芯片U1、正极电压输出电路和负极电压输出电路,正极电压输出电路包括二极管D1,二极管D1的负极端为正极电压输出端,负极电压输出电路包括电容C2,电容C2的一端与升压芯片U1的SW脚连接,电容C2的另一端分别与二极管D2的负极端以及二极管D3的正极端连接,电容C3的一端以及二极管D2的正极端连接。本实用新型通过单个升压芯片U1实现电路所需的正负电压双电源供电要求,在原有的正电压通道基础上增加少量的常规器件实现负压供电输出,具有电路结构简单,实用性强以及电路成本低的特点。

今年以来得邦照明新获得专利授权58个,较去年同期增加了114.81%。结合公司2023年年报财务数据,2023年公司在研发方面投入了1.72亿元,同比增10.07%。

数据来源:企查查

以上内容由证券之星根据公开信息整理,由算法生成(网信算备310104345710301240019号),与本站立场无关,如数据存在问题请联系我们。本文为数据整理,不对您构成任何投资建议,投资有风险,请谨慎决策。

USB多路输出电源---原理图设计1(Boost电路)

开篇绪论

用元器件搭建一个小功率的电源模块,可以直接插在电脑的USB接口。不仅能实现降压,同时也可以升压,得到我们想要的常用电压源,甚至能实现正负电压源,按照这个思路从原理图开始做起。欢迎大家一起来讨论,如果能给大家带来乐趣的同时,也让大家从中收获更多的知识,未来还会分享我做过的各种DIY小玩意儿。

本贴用来汇总大家DIY问题中所遇到的所有技术问题,也包括元器件的购买问题。大家可以把遇到的问题在此帖子下罗列,我每天review大家的问题,并进行回复,也方便给大家问题备份与回顾。

DIY主题

DIY活动:从零开始一起制作USB多路输出电源。

下面就来给大家一步一步展示怎么从无到有设计 焊接 制作的。

一般我们用的电脑,它的USB输出是5V左右,不同的电脑,输出电流也会有所不同(台式机、标压版笔记本、低功耗版笔记本)。在开篇前要说明一下,一般的电脑USB供电输出电流0.5A,这个具体要看电脑的配置。我们这个项目,要求单个电源的最大带载能力为0.5A。

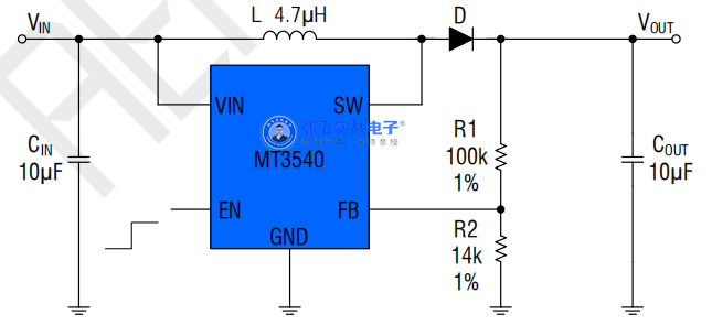
第一步:原理图设计

首先第一步,要进行原理图的设计了。

做几个比较常用的直流电压。先将USB_5V用Boost电路升压到12V,然后再分别降到5V和3.3V。我们这个板子还做了2个负压电源,用USB_5V降压至-12V,再用-12V升压到-5V。

5V_USB --> 12V, 0.5A

如上图所示,BOOST芯片我们选用的是一颗国产MT3540型号的芯片,厂家也给出了这款芯片的推荐电路,这款芯片的频率f=1.2MHz。首先要经过BOOST电路进行升压,将5V转成12V。

计算分压电阻

需要有几个元器件的参数需要进一步确认。由于输出电压Vout是12V,FB电压反馈脚的电阻值需要根据输出电压来进行匹配。通过查看数据手册,我们知道Vfb=1.2V。

根据电阻分压公式,另外,还要考虑回路的阻抗,我们可以计算出R1 R2的阻值。

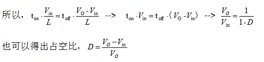
Boost伏秒平衡推导

根据Boost电路的拓扑结构,来分析一下电感是如何工作的,如下图所示:

上图是Boost电路的拓扑结构,Boost之所以能够升压,是利用电感的充放电来实现的。如上图所示,当开关闭合on时,此时Vin给电感充电;当开关断开off时,此时电感放电,而且是骑在Vin之上的,相当于电源把电感给抬高了。

我们知道,之所以输出电压Vo能达到平衡,是因为电感的充电电流=放电电流。那么,我们知道电感的电流与感量的关系:

电感充电时,Δt为ton;电感放电时,Δt为toff。

同样的,我们再来分别分析ton和toff期间,电感两端的电压。

可以从上面这幅图中看出来,

计算电感量

我们刚刚分析了Boost电路占空比,那么电感的平均电流IL是多少呢?电感量应该如何取呢?

根据能量守恒,我们可以知道:

又由于电感平均电流为电流三角形面积的平均值,所以,

上面计算的电感量是在0.5A时,工作在BCM模式状态下,如果我们想让Boost电路的工作模式连续深度更深的话,需要再乘以一个0.2系数,表示负载进入100mA(0.5A*0.2)时,进入了BCM模式。

这里我们可以选择一个4.7µH 1A的标称电感。

最终确定后的Boost电路原理图

相关问答

怎么将12V电压变成正负12V电压,芯片或者模块叫什么?

直流12V电压变成正负12V电压,可以采用“单路直流转双路直流电源模块”实现。这类电源转换模块,基本上都是厂家自定名称和参数标准,国家没有统一的标准名称。...

请问负电源有什么作用?_作业帮

[最佳回答]1.需要电源高端接地的场合,比如通讯电源.电源的高端必须接地.那电源的低端就是负电源了.2.有的芯片或者电路需要正负电源的时候,这时候必然需要负电...

手机电池为何有三个芯片,一个正极一个负极,还一个干什么用-Z...

手机电池特殊就在这里,一般的电池都是两个金属触片,正负极,手机电池多出来了一个金属触片,一般的手机电池,不管是正宗的原装手机电池,还是咱们国产弘毅电池这类...

在线的老铁!帮忙回一下重庆正负12V电源控制芯片,电源控制...

[回答]涡轮增压器动力不足。30397芯片的作用:控制4个点火线圈。当出现故障时,点火线圈不点火。30380芯片的作用:控制传感器采集模块。30343芯片的作用:将1...

请问如何用一个直流电源来产生电路所需的正负电压电压源?_作业帮

[最佳回答]1、在只需要很小电流的情况下,使用ICL7660芯片产生负电压(10mA左右).2、需要比较大的电流,可以使用DC-DC隔离电源产生负电压.1、在只需要很小电流...

请问正负5负电源是什么意思及用途?

电路要求使用正负5V电源,一般是电路中使用了集成电路,它需要双电源供电,并且要求电源对称,才会用到±5V。电路要求使用正负5V电源,一般是电路中使用了集成电...

2845芯片参数?

2845是一款高性能的电流监测型脉宽模式控制芯片,最大工作电压为30伏特,供电电流可自我限制到30毫安培以内,输出电流为正负1安培,可用于驱动外部开关场效应管...

请问芯片的引脚经电容接到GND或VCC,作用是什么?请指教!-ZOL问答

6条回答:【推荐答案】V+,V-为输出供电正负电压,姐在上边的为滤波电容,没什么特...这个一般电源上用的,要用电感,或者用开关电容法,就是用电荷泵给电容充电,达到...

为什么有正负10v的电压信号?

因为有电压降的存在,我们知道,即使我们能够保证供电电压准确保持在标准电压(例如0.8v),在芯片内部实际是比0.8v更低的电压,而这个电压在芯片不同的位置,...

1K00S2集成块引脚功能?

1K00S2集成块是一种数字电路集成块,它具有多种功能引脚。其中,VDD和GND是电源引脚,提供正负电源;RESET是复位引脚,将其拉低即可使芯片复位;CLK是时钟引脚,...

 山羊肉  网络视听盛典2024 
王经理: 180-0000-0000(微信同号)
10086@qq.com
北京海淀区西三旗街道国际大厦08A座
©2026  上海羊羽卓进出口贸易有限公司  版权所有.All Rights Reserved.  |  程序由Z-BlogPHP强力驱动
网站首页
电话咨询
微信号

QQ

在线咨询真诚为您提供专业解答服务

热线

188-0000-0000
专属服务热线

微信

二维码扫一扫微信交流
顶部