芯片元器件
HOME
芯片元器件
正文内容
稳压芯片原理 一文带你了解降压型稳压芯片原理
发布时间 : 2026-02-02
作者 : 小编
访问数量 : 23
扫码分享至微信

一文带你了解降压型稳压芯片原理

在电路系统设计中,总是离不开电源芯片的使用,林林总总的电源芯片非常多,比如传统的线性稳压器7805、低压差线性稳压器(LDO)、开关型降压稳压器(Buck DCDC)等,那么它们到底有什么区别呢?Excelpoint世健的工程师Wolfe Yu在此对各种降压型稳压芯片的原理进行了科普。

降压型稳压芯片的主要分类

串联线性稳压电路原理

串联线性稳压电路主要思路来自于基本线性调整模型。在输入直流电压和负载之间串入一个三极管,其作用就是当输出阻抗发生变化引起输出电压同步变化时,通过某种反馈形式使三极管的发射极也随之变化,从而调整输出电压值,以保持输出电压基本稳定。由于串入的三极管是起着电压调整作用的,所以,这个三极管也称为调整管。

图1 LDO基本模型

基本线性调整管的输出电压,主要由稳压管的电压来决定,无法实现自动调节。为了让输出电压可以自由设定,从而不受稳压管影响,一般会加入运算放大器,通过比例系数调节输出电压。

图2 可调LDO模型

LDO直流输入电压和负载调整率、输入电压和负载瞬态响应、电源抑制比(PSRR)、输出噪声和精度在各种降压型稳压器中,都是最优,对于高精度模拟前端应用场合十分必要。所以,产品应用的核心电源,都会采用高精度LDO供电。

图3 LDO主要功耗模型

LDO也会面临另一个问题,效率比较低。主要是稳压调整管所需击穿饱和电流、运放反馈回路电流、以及输出电压与压差和电流产生的热能损耗等等。一般来说,我们把输入电流和Iin输出电流Iout的差值,称为接地电流(IGND),接地电流包括静态电流(IQ),LDO的效率公式如下。

接地电流是影响LDO效率的一个因素,但是,相对于调整管的压降来说,如同九牛一毛,可以忽略不计。真正影响LDO效率的是输入输出之间的电压差。

一般来说,市面上常用的串联线性稳压电路通常会采用五种常用的结构,大体分为:经典NPN型结构LDO(A)、基于PNP驱动的NPN输出型低压差结构LDO(B)、PNP型低压差结构LDO(C)、P沟道低压差LDO(D)、N沟道低压差LDO(E)。

图4 常见LDO产品架构

初步分析:经典NPN型结构LDO,输入输出压差基本要求满足3V左右。基于PNP驱动的NPN输出型低压差结构LDO,输入输出压差需要达到1.5V。PNP型低压差结构LDO、P沟道低压差LDO和N沟道低压差LDO属于真正的低压差LDO,P沟道低压差LDO对于散热要求很高,N沟道低压差LDO相对工艺复杂。PNP型低压差结构LDO相对简单,输入输出压差基本控制在0.3V——0.6V之间。市面上,选择C和D方案作为LDO架构的厂商较多。

串联开关稳压电路原理

前面我们提到,LDO有着较大的负载调整率、输入电压和负载瞬态响应、电源抑制比(PSRR)、输出噪声和精度。但是由于效率太低,随着节能减排、PCBA的布局布线等要求,在很多高压差的场合,人们不得不寻求新的替代方案。

随着半导体技术和磁性材料的发展,通过调整开关管通断、采用换能的方式,输出相对稳定的电压的DCDC应运而生。

图5 Buck DCDC基本拓扑

正常工作状态下,BUCK型DCDC主要工作在连续导通模式(CCM),这种模式下,电感器上有连续电流,这种情况也称为重载模式,DCDC主要是通过电感电压伏秒平衡原理,来实现降压功能。

图6 Buck DCDC连续导通模式及输出波形

从上图来看,我们可以计算出BUCK型DCDC的输出电压和输入电压之间的关系,主要依赖于开关管的导通时间。

对于开关电源来说,影响开关电源功耗的因素,主要集中在开关管MOSEFET、门极驱动、电感磁芯损耗和线损上面。

图7 Buck DCDC主要损耗因素

相对于线性稳压电源来说,开关稳压电源的效率可以达到90%以上,相对损耗几乎忽略不计。所以,在很多应用场合,特别是较大输出压差和较大输出功率的情况下,工程师几乎统一都是采用这种Buck电源。

开关电源Buck电路的控制方案

PWM脉冲调制技术

传统电流模式的开关电源,采用的方式是将采样电流与电压反馈环路中误差放大器的输出进行比较,以生成控制MOSFET的PWM脉冲。

图8 PWM核心控制机理

电压模式是PWM脉冲调制一种常用的调制方式,主要采用固定频率三角波和误差做比较,采用三角波和误差幅值调整占空比。

图9 电压调整模式架构

峰值电流模式是PWM脉冲调制的另一种常用的调制方式,占空比主要由电流环决定,电压环决定电流信号参考。

图10 峰值电流模式架构

COT调制技术

PWM频率恒定,其在整个负载频率范围内的纹波电压和输出噪声都是非常低的,每个开关管在切换的时候都会产生开关损耗,特别是其在轻负载时,还保持较高的开关频率,开关损耗比重加大,效率会降低。

图11 DCM模式电感电流环示意

我们知道,当负载电流非常小时,或者说电感器的值小于临界电感时,转换器开关就会工作在不连续导通模式(DCM)。极端情况下,假设负载为0,转换器开关就会只转换一次就不再工作。实际上,由于开关电源的ESR,反馈回路等等形成的阻抗产生电路损耗。此时,控制MOSFEET的PWM脉冲宽度明显小于正常连续开通模式(CCM)的脉冲宽度。

图12 DCM模式电感电压与电流波形

同时,每个MOSFEET开关管的切换时间,总是存在相对固定的开通和关断时间,这就是开关损耗。如果我们在DCM模式下,能降低开关切换频率。就会降低开关损耗。

基于PFM的COT可以很好的解决上述难题,与传统电压/电流模式控制相比,恒定导通时间控制(COT)结构则非常简单,它通过反馈电阻来采样输出电压,然后将输出电压纹波谷值直接与参考电压进行对比,生成固定的导通时间脉冲来导通上管MOSFET。

图13 COT核心控制机理

COT架构无需传统电压/电流模式DC/DC控制中的补偿网络,只需要一个参考比较器输出来触发定时脉冲发生器。变换器的设计更加简单,因为元器件变得更少,也无需花费很多时间来调整补偿值。COT 变频控制结构在轻载时,脉冲频率得到了进一步的降低,可以保持较高的效率。COT架构也存在一些缺点:首先,每次导通时间固定,频率会随占空比发生变化,针对这种情况,我们一般在电路上调整假负载,控制频率因素。其次,COT架构的另一个缺点,需要依靠FB引脚上的纹波调整占空比,输出纹波很大。

多相交错并联降压技术

如果变换器的开关频率一致,并且在各变换器之间加一定的相移,可以减少输入输出电流纹波,这种称之为多相交错并联降压技术。

图14 多相交错并联移向技术架构

多相交错并联Buck型DCDC变换器是由多个变换器并联,共同为负载提供电流。每个驱动信号频率相同,相位错开。

图15多相交错并联移向电流纹波

用交错并联后电流由交错电流叠加,如果叠加相位匹配控制得好,电流纹波会随相位增加而降低,电压纹波也会相应降低。

多相交错并联COT架构电源对于轻载、重载自由切换的大功率通信应用场合意义十分重大,特别是5G通信电源,需要满足超大射频发射功率等应用场景。

Microchip基于双相交错先进COT Buck电源的解决方案

Excelpoint世健代理的产品线Microchip推出基于双相交错先进恒定导通时间(COT)同步降压控制器的MIC21LV33系列电源芯片。该芯片采用独特的自适应导通时间控制架构,支持超轻负载模式和切相功能。控制部分采用超高速控制器,在中等负载至重负载条件下支持超快速瞬态响应。支持从外部通过电容编程软启动,实现安全启动进入重载模式。该芯片还集成一个远程检测放大器,用于精确控制输出电压。

MIC21LV33提供全套保护功能,确保在故障状态期间保护芯片。包括:电源电压跌落条件下正常工作的欠压锁定、降低浪涌电流的可编程软启动、过压放电、“打嗝”模式短路保护、以及热关断。

MIC21LV33产品主要特征:

-输入电压范围:4.5V——36V

-输出电压、电流:0.6V——28V,最低0.6V,精度±1%。最大输出电流:50A。

-开关频率范围:100kHz——1MHz/Phase

-MIC21LV33集成远程检测放大器,用于精确控制输出电压。

-封装:32脚 5mm x 5mm VQFN

-温度范围:-40℃——125℃。

图16 MIC21LV33 评估板

MIC21LV33该产品可应用于: 分布式电源系统、通信/网络基础设施、打印机、扫描仪、视频设备、以及FPGA/CPU/MEM/GPU内核电源。该产品可以支持最大8相堆叠,电流输出高达200A。满足各种应用场景,Excelpoint世健可提供相应技术指导及样品支持。

如何看懂稳压电路,看完这篇文章你就知道了

在许多电子设备中,通常都需要电压稳定的直流电源。在本章前面已讲过,通过整流滤波后得到的电压仍为不稳定的三角波形,会随电网电压产生波动,同时电子设备工作时负载电流的变化及温度的变化等都会引起输出电压不稳定,这将严重影响设备正常工作。为了使电子设备能正常稳定地工作,就要配置专门的直流稳压电源。下面主要讲述简单的直流稳压电源。

稳压电源电路的形式主要有两种:一种是并联型,将调整元器件与负载并联,如图2-21a所示;另一种是串联型,将调整元器件与负载串联,如图2-21b所示。

稳压二极管构成的稳压电路

如图2-22所示为稳压二极管作调整元器件构成的稳压电路。电路中调整元器件采用硅稳压二极管,供电电压经电阻R限流后,在负载上并联稳压二极管。这里输出的稳定电压由稳压管的稳压值决定。下面分两种情况对稳压二极管构成的稳压电路工作过程进行分析。

图2-21 稳压电路的两种形式

图2-22 稳压二极管构成的稳压电源

1.负载电流不变、输入电压变高时的稳压过程

当输入电压升高时,输出电压也略增大,稳压管的工作电流(IZ)将增大,使流过限流电阻R的电流也增大,同时电阻R上电压降也增大,而输出电压Uo=Ui-UR,由于UR增加,Uo必减小,从而保持输出电压Uo基本不变。

2.输入电压不变、负载电流变化时的稳压过程

当负载电流增大时,在R上的压降增大,引起输出电压Uo减小,由于稳压管的工作电流IZ也减小,所以最后通过R的电流基本不变。

稳压二极管构成的稳压电路的优点是电路简单、稳压效果好,但是输出电压值不能调整,且输出电流小。

简单串联稳压电源

1.电路组成

电路如图2-23所示,由晶体管VT、电阻R、稳压二极管VZ组成稳压电源。Ui为输入电压,Uo为输出电压。电阻为稳压二极管提供基础电流,稳压二极管提供基准电压VZ,晶体管Q为调整元器件。从电路中可以得出

Uo=Ui-Uce

Uo=VZ-Ube

图2-23 简单串联稳压电源

2.工作(稳压)原理

若输入电压Ui升高,可能会引起输出电压升高,稳压电源电路将通过自动调整使输出电压降低,保证稳定输出电压。原理简述如下:当Uo升高时,根据Uo=VZ-Ube,UZ不变,因此Ube下降;又根据晶体管的特性,Ube降低使晶体管基极电流Ib减小,晶体管导通程度降低,Ic减小,使Uce升高;根据Uo=Ui-Uce可知,Uo也将降低,从而使输出电压稳定。其稳压控制过程可简述为

Ui↑→Uo↑→Ube↓→Ib→Ic↓→Uce↑→Uo↓

相反,当输入电压降低时,输出电压可能降低,其稳压控制过程与上述相反。

当负载变重时,会引起输出电压降低;当负载减轻时又会使输出电压有所升高。同样,稳压电源都会通过自动调整使输出电压得到稳定。

从稳压过程可看出,稳压电源由取样环节、基准电压源、比较环节及调整环节等部分组成。输出电压Uo被用作样品(取样),与基准电压比较,产生的误差就是Ube,晶体管VT可根据误差电压调整导通程度(改变输出电流),使输出电压稳定。

具有放大环节的稳压电源

1.电路组成

参看图2-24所示。从电路功能上看,该稳压电源由取样环节、基准电压源、比较放大环节及调整环节组成。

图2-24 具有稳压环节的直流稳压电源

(1)取样环节

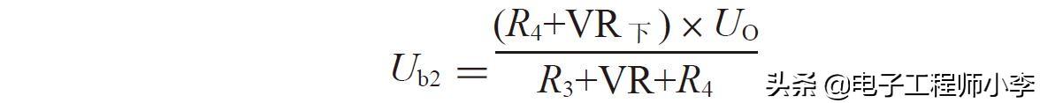
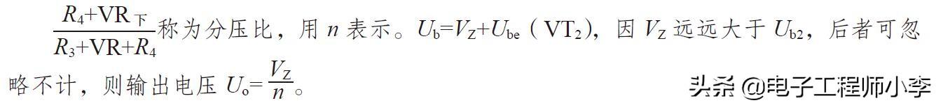
取样环节由电阻R3、VR及电阻R4组成。取样环节对输出电压分压,在VR的中间端获得样品电压,加到晶体管VT2的基极。该电压与输出电压成比例,即

(2)基准电压源

电阻R2为稳压二极管VZ提供基准电流,稳压二极管为电路提供基准电压Vz。

(3)比较放大环节

样品电压Ub经晶体管VT2的b-e结与基准电压Vz相比较,产生误差电压Ube。误差电压被晶体管VT2放大,其导通程度受Ube控制,流过VT2的集电极电流发生改变(Uce改变)。

(4)调整环节

调整电路由晶体管VT1组成。通过控制VT1的基极电流,进而改变VT1的集电极电流,调整Uce使输出电压得到控制。

【提示】

2.稳压控制过程

假设负载变大,引起输出电压降低。当输出电压Uo降低时,样品电压Ub与Uo成比例降低,经VT2的b-e结电压Ube与基准电压VZ相比较,因Ub=VZ+Ube,产生的误差电压Ube必将减小。减小的Ube使误差放大晶体管VT2的基极电流Ib减小,引起VT2集电极电流Ic变小(Uce增大)。输入电压Ui流经R1进入晶体管VT1的基极电流被VT2集电极电流分流减少,VT2基极电压升高,使VT2集电极电流增大,Uce减小。根据Uo=Ui-Uce,输出电压Uo将升高,结果输出电压被调整升高,弥补负载变重引起的下降,从而使输出电压得以稳定不变。

这一过程可简述如下:

相反,负载变轻引起输出电压升高时的稳压控制过程正与上述过程相反。

三端集成稳压电源

随着电子技术的发展,稳压电路也实现了集成化,最常见的有三端集成稳压器件,可分为固定式稳压器件和可调式稳压器件。

三端固定式集成稳压器特点是输出电压不可调节,其型号主要有:

1)LM78XX系列,为正电压输入、正电压输出,常见的有LM7805、LM7809、LM7812等。

2)LM79XX系列,为负电压输入、负电压输出,常见的有LM7905、LM7909、LM7912等。

3)LM78XX系列与LM79XX系列输入输出电压幅值相同,但极性不同,管脚排列也不同。

4)与LM系列相似的还有CW78XX系列、KA78XX系列等,它们可直接替换使用。

三端固定式集成稳压器型号的后两位数XX表示输出稳压值,最大输出电流为1.5A。如LM7805为输出+5V电压,LM7812为输出+12V电压。图2-25所示为KA7805三端稳压集成器应用电路原理图及实物图。

图2-25 KA 7805三端稳压集成电路应用图及实物图

【提示】

三端集成稳压器输入端电压大于输出电压时,才能输出规定电压。

常见的三端可调式集成稳压器件有LM317。LM317实物图及其应用电路如图2-26所示,输出电压由R/VR的比值决定,调节VR就可改变输出电压。一般情况下,要在LM317输入与输出端接入电容器,以稳定输出电压。

图2-26 LM317实物图及其应用电路

三端精密稳压控制器

常应用于电路中的TL431就是三端精密稳压控制器,是一种可控精密电压比较稳压器件,相当于一个稳压值在2.5~36V间可变的稳压二极管,其外形、符号及内部结构如图2-27所示。其中,A为阳极,K为阴极,R为门极。

TL431稳压器的工作原理:加到R两端的电压URA在TL431内部通过比较运算放大器与基准电压(Vref)进行比较,当其高于基准电压时,运算放大器输出高电压使内部晶体管导通加强(即IKA增大),反之,IKA减小。

TL431主要用在稳压控制电路中。

图2-27 TL431的外形、符号、内部结构

相关问答

稳压器原理什么,有谁比较了解的能说说吗?_齐家装修问答

稳压器是一种能自动调整输出电压的供电电路或供电设备,其作用是将波动较大和达不到电器设备要求的电源电压稳定在它的设定值范围内,使各种电路或电...

稳压管的工作原理是什么啊?

稳压管的工作原理:稳压管也是一种晶体二极管,它是利用PN结的击穿区具有稳定电压的特性来工作的。稳压管在稳压设备和一些电子电路中获得广泛的应用。把这种类...

稳压源原理?

稳压电源是能够为负载提供稳定的交流电或直流电的一个电子装置,分为交流稳压电源和直流稳压电源两大类,具有增加放大环节,提高稳定性,使输出电压可调,电源工...

稳压器的工作原理是什么?(详细介绍)?

220V稳压器由接触式自耦调压器、伺服式电动机、自动控制电路等组成。工作原理是:当电网电压不稳定或负载变化时,自动采样控制电路发出信号并驱动伺服电机,调整...

稳压管原理?

稳压管的原理是通过将参考电压和电阻网络与稳压管进行连接,当输入电压波动时,稳压管通过自己的管电阻来调整输出电压,以保持输出电压稳定不变。可以将参考电压...

稳压电阻的原理?

线性稳压电路的工作原理实际就是对输出电压进行实时采样,并以采样电压进行负反馈,来调节输出管的动态电阻和压降而使输出电压保持稳定。比如,由于输入电压下降...

稳压器工作原理是什么啊?有什么用途?_住范儿家装官网

稳压器是一种能自动调整输出电压的供电电路或供电设备,其作用是将波动较大和达不到电器设备要求的电源电压稳定在它的设定值范围内,使各种电路或电...

稳压器的工作原理-hdvXk7txbAt的回答-懂得

稳压器有以下几部分组成:1、调整电路;2、取样电路;3、取样放大;4、基准电路;稳压过程:设输出电压已达到预设电压。当输出电压变化时,取样电路取得样...

稳频稳压电源原理?

稳频稳压电源的主要功用是将现有交流电网电源变换成所需频率的稳定的纯净的正弦波电源。其工作原理如下:利用自耦变压器的原理构成,需要注意的是输入电压的时...

液压站稳压原理?

液压站稳压的原理是:通过电机旋转的机械能带动油泵旋转,从油箱内吸油打油至各个管路系统,产生液压能,带动执行元件工作。回油通过回油管路及冷却器经油箱过...

 赵立坚本科毕业大学  u5 gif动画制作软件 
王经理: 180-0000-0000(微信同号)
10086@qq.com
北京海淀区西三旗街道国际大厦08A座
©2026  上海羊羽卓进出口贸易有限公司  版权所有.All Rights Reserved.  |  程序由Z-BlogPHP强力驱动
网站首页
电话咨询
微信号

QQ

在线咨询真诚为您提供专业解答服务

热线

188-0000-0000
专属服务热线

微信

二维码扫一扫微信交流
顶部